Berechnung von Antennenstandrohren
zurückRohre und Festigkeit
Ob Kyrill oder leichte Brise, der Wind biegt das Antennenrohr mehr oder weniger stark. Die Belastung, die dabei im Material auftritt, wird mechanische Spannung genannt. Das Maß fur die Widerstandsfähigkeit eines bestimmten Profiles gegen Biegespannungen heißt Widerstandsmoment und hat die Maßeinheit m3 oder mm3. Bitte vom Begriff "Moment" und der merkwurdigen Einheit mm3 nicht verunsichern lassen. Wir nehmen es so hin.
Das Widerstandsmoment ist nur vom Profil abhangig, nicht vom Material.
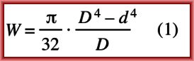
Für ein Rohr gemäß Bild 1, das im Schnitt einen Kreisring darstellt, berechnet es sich wie folgt:

Welche Auswirkungen haben nun die Abmessungen?
Um schnell zu Erkenntnissen zu kommen, habe ich ein dünnwandiges und ein dickwandiges Rohr, sowie einen Rundstab aus Vollmaterial mit jeweils etwa dem gleichen Widerstandsmoment miteinander verglichen. Das Ergebnis ist in Tabelle 1 zusammengefasst.
Daraus ergeben sich folgende Schlussfolgerungen:
a) Dünnwandiges Rohr mit größerem Außendurchmesser
bringt eine erhebliche Einsparung an Masse gegenüber dickwandigerem,
dünnerem Rohr.
b) Die Werte die das Vollmaterial liefert,
widerlegen eindeutig die alte Regel "viel hilft viel".
Es ist fast auszuschließen, dass ein Funkamateur überhaupt auf die Idee kommt,
sich in luftiger Hohe mit Vollmaterial abzuquälen, wo er oft schon genug mit dem
Angstschweiß zu kämpfen hat.
Das Vollmaterial wurde hier nur ins Spiel gebracht,um zu zeigen, dass die äußeren Materialbereiche
die meiste Festigkeit bringen.
Die entsprechende Rohrmasse pro Meter wird zusätzlich automatisch berechnet.
Das Arbeitsblatt ist auch unter Calc aus dem frei herunter- ladbaren OpenOffice-Paket lauffähig.